NEET UG

FULL SYLLABUS CHEMISTRY TEST: 01

Thanks for Attempting the QUIZ


NEET CHEMISTRY TEST 2026 [TEST 01]

Attempt all question within time limit of 50 minutes.

1 / 45

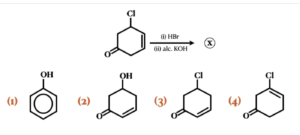
1. Identify the product (C) in the following sequence:

2 / 45

2. The half-life period of a first order chemical reaction is 6·93 minutes. The time required for the completion of 99% of the chemical reaction will be

3 / 45

3. If Eᴼ for MnO₄⁻ ➝ Mn²⁺ is X₁ V and Eᴼ for MnO₄⁻ ➝ Mn⁴⁺ is X₂ V, then what will be Eᴼ for Mn⁴⁺ ➝ Mn²⁺?

4 / 45

4. Which one of the following compounds can exhibit both geometrical and optical isomerism?

5 / 45

5. Arrange the compounds (A to E) in the order of solubility in hexane:

 

6 / 45

6.

What is the configuration of the following compound?

7 / 45

7. Given equivalent conductivities at 298 K:

λᴼ for Ba(OH)₂ = 228·8 Ω⁻¹ cm² mol⁻¹

λᴼ for BaCl₂ = 120·3 Ω⁻¹ cm² mol⁻¹

λᴼ for NH₄Cl = 129·8 Ω⁻¹ cm² mol⁻¹

And equivalent conductivity of 0·2 N NH₄OH solution is 2·383 Ω⁻¹ cm² mol⁻¹, then the value of % degree of dissociation of NH₄OH will be nearly:

8 / 45

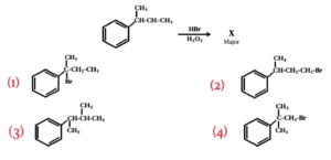
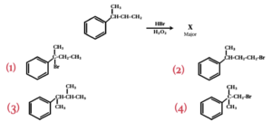
8. The major product ⓧ  of the following reaction is:

9 / 45

9. High spin and low spin complexes are not possible with the configuration:

10 / 45

10. Choose the INCORRECT statement:

11 / 45

11. For the reaction: 4 Fe(s) + 3 O₂(g) ➝ 2 Fe₂O₃(s), if ΔᵣS = ﹣550 JK⁻¹mol⁻¹ and ΔᵣHᴼ = ﹣1650 kJ mol⁻¹, then total entropy change for the reaction will be:

12 / 45

12. The coordination numbers of Au and Pt in the complexes formed when they are treated with aqua-regia are respectively: 

13 / 45

13. The product (B) in the following reaction sequence is:

14 / 45

14. If at 298K the bond energies of C–H, C–C, C=C and H – H bonds are respectively 414, 347, 615 and 435 kJ mol–1, then value of enthalpy change for the reaction,

H₂C=CH₂ + H₂(g) ➝ H₃C-CH₃(g)

at 298 K will be 

15 / 45

15. When lanthanoid(Ln) is heated with carbon, the carbide which is not formed is:

16 / 45

16. The ratio of wavelengths of last line of Lyman series to that of second line of Balmer series in hydrogen spectrum is:

17 / 45

17. X & Y in the given reaction sequence are respectively:

 

18 / 45

18. EMF of the cell

Zn(s) | Zn²⁺(0·01M) ‖ HCl(1M)| H₂(g, 1 atm)|Pt

At 298 K is 0·701 V. What is the minimum amount of NaOH required to neutralise the acid present in cathodic compartment completely? [Eᴼ(Zn²⁺➝ Zn) = 0·76 V] 

19 / 45

19. If Kc = 3·92 × 10¹⁵, for the reaction:

Cu(s) + 2 Ag⁺(aq) ➝ Cu²⁺(aq) + 2 Ag(s).

What is the value of the Eᴼ for the reaction at 298 K? 

20 / 45

20. In the following two reaction sequences products Ⓒ and Ⓓ can be distinguished by:

21 / 45

21. The correct order for the wavelengths of absorption for the following is

22 / 45

22. Identify the major product (Y):

23 / 45

23. The first four successive ionisation energy values for an element (A) are: x eV, 2x eV, 5x eV & 26x eV respectively. What should be the formula of its oxide?

24 / 45

24. In which one of the following molecules, all the bond lengths are equal?

25 / 45

25. For which of the following conversion, there is no change in number of electronic exchange?

26 / 45

26. Which of the following is not true about brown ring test?

27 / 45

27. The major product in the given reaction is:

28 / 45

28. In the following reaction:

Mᴺ⁺ + MnO₄⁻ ➝ MO₃⁻ + Mn²⁺ + ½ O₂

If one mole of MnO₄⁻ oxidises 2·5 mole of Mᴺ⁺, then the value of N is: 

29 / 45

29. Which of the following is the Incorrect order for bond angle?

30 / 45

30. In which of the following case osmotic pressure should be minimum?

31 / 45

31. Which one is INCORRECT order for the property indicated against it?

32 / 45

32. Which of the following is not true about brown ring test?

33 / 45

33. Which of the following is/are non reducing sugar(s)?

I. Fructose

II. Maltose

III. Sucrose

IV. Lactose

34 / 45

34. Number of mole of Cr₂O₇²⁻ required to oxidise 4 mole of ferrous oxalate in acidic medium is:

35 / 45

35. What volume of O₂(g), measures at 0 ᴼC & 1 atm, is required to completely burn 2 L of butane gas under similar conditions?

36 / 45

36. tert-Butylmethyl ether [(CH₃)₃C-O-CH₃] cannot be prepared by:

(1) CH₃ONa + (CH₃)₃CBr

(2) (CH₃)₂C=CH₂ + CH₃OH + H⁺

(3) (CH₃)₃CONa + CH₃Br

37 / 45

37. Arrange the compounds in the order of boiling point:

38 / 45

38. What should be the pH of 0.01M NaCl(aq) solution at 25ᴼC, if Kw for H₂O is 1·0 × 10⁻¹⁴ M²? 

39 / 45

39. The hybridisations of the central atom in the chemical species, ClF₃, BrF₅ & [ICl₂]⁺, are respectively

40 / 45

40. Which of the following is not correct?

(1) La(OH)₂ is less basic than Lu(OH)₃

(2) Europium (z=63) has largest atomic radii among Lanthanoids.

(3) Lanthanoids can form carbides Ln₃C, Ln₂C₃ and LnC₂ when heated with carbon.

41 / 45

41. The correct order for O-O bond length in the species is:

42 / 45

42. Of the following sets which one does NOT contain isoelectronic species? 

43 / 45

43. The volume of ethanol (d = 1·15 g/mL) that has to be added to prepare 100 mL of 0·5 M ethanol solution in water is:

44 / 45

44. The number of σ bonds in the structure is

45 / 45

45. When a catalyst is added to a reaction at 27 ⁰C, its rate becomes twice, what is the decrease in the activation energy of the reaction?

Your score is

0%

Exit

FULL SYLLABUS CHEMISTRY TEST: 02

Thanks for Attempting the QUIZ


NEET CHEMISTRY TEST 2026 [TEST 02]

Attempt all question within time limit of 50 minutes.

1 / 45

1. Based on CFT, which one of the following ions should be colourless?

2 / 45

2. For the redox reaction:

x MnO₄⁻ + y C₂O₄²⁻ + z H⁺ ➝ Mn²⁺ + CO₂ + H₂O, x, y and z for the balanced reaction are

3 / 45

3. If radius of second orbit of Be³⁺ is x Å, then what is the radius of 4ᵗʰ orbit of He⁺

4 / 45

4. What is the average formal charge on each oxygen in [NO₃]⁻?

5 / 45

5. Consider the following statements about plot of Intensity versus wavelength during black body radiation at various temperatures:

  1. On increasing temperature area under the graph increases.
  2. Intensity maxima shifts towards lower wavelength on increasing temperature.
  3. Height of the Intensity maxima remains unchanged on increasing temperature.

Choose the CORRECT statement

6 / 45

6. 1 g of graphite is burnt in a bomb calorimeter in excess of oxygen at 298 K and 1 atmospheric pressure according to the equation:

C (graphite) + O₂(g) ➝ CO₂(g)

During the reaction, temperature rises from 298 K to 299 K. If the heat capacity of the bomb calorimeter is 20·7 kJ K⁻¹g⁻¹, what is the enthalpy change for the above reaction at 298 K and 1 atm?

7 / 45

7. Which of the following reactions will yield propan-2-ol?

I. Acid catalysed hydration of propene.

II. Reaction of ethanal with CHMgI followed by hydrolysis

III. Reaction of methanal with CHMgI followed by hydrolysis

IV.  Oxidation of propene with neutral KMnO

8 / 45

8. Consider the following statements:

  1. Ecell should be positive for a galvanic cell to be feasible
  2. ΔG⁰ is ﹣ve for rusting of iron.
  3. Order for molar conductivity at infinite dilution: H⁺ > K⁺ > Na⁺ 
  4. Upon dilution equivalent conductivity of an electrolyte remains constant.

Choose the CORRECT statements:

9 / 45

9. Consider the following statements:

  1. The general range for melting point of lanthanoids is 1000 K to 1200 K.
  2. The lanthanoid having exceptionally high melting point is Sm (z = 62).
  3. Sum of first ionisation enthalpy and second ionisation Enthalpy for lanthanoids is around 1800 kJ/mol.

10 / 45

10. If 1 g NaOH is added to 200 mL of 2·5 M solution of NaOH(aq), then what is the molarity of the resulting solution?

11 / 45

11. Bond order in CO and oxidation number of carbon in it, are respectively:

12 / 45

12. How many stereogenic carbons are in the structure:

13 / 45

13. A 2·250 g sample of a dicarboxylic acid having molecular mass 174 u was burnt in an excess of oxygen and yielded 4·548 g of CO₂ and 1·629 g of H₂O. What should be the molecular formula of the compound?

14 / 45

14. An aqueous solution containing 3 g of a non volatile solute of molar mass 111.6 g/mol in 500 g of water freezes at - 0.125 °C. The mass of ice separated out in grams from the solution is (Kf = 1.86 K kg mol¹)

15 / 45

15. Which of the following ion has zero spin only magnetic moment?

16 / 45

16. Organic Compound A CHO gives 2,4-DNP and Iodoform test but does not reduce Tollens and Fehlings reagent neither decolorises Baeyer's reagent. On drastic Oxidation with HCrO it gives B (CHO). A and B are respectively

17 / 45

17. Which of the following tests are given positive by both aldehydes and ketones?

  1. 2, 4-DNP test
  2. Schiff’s test
  3. Benedicts test
  4. Tollen’s test

18 / 45

18. At 518 °C, the rate of decomposition of a sample of gaseous acetaldehyde, initially at a pressure of 363 Torr, was 1.00 Torr/s when 5% had reacted and 0.5 Torr/s when 33% had reacted. The order of the reaction is

19 / 45

19. A microscope using suitable photons is employed to locate an electron in an atom within a distance of 0·1 Å. What is the uncertainty involved in the measurement of its velocity?

20 / 45

20. What is the relation between compounds A and B?

21 / 45

21. Identify the product (X) in the reaction:

22 / 45

22. Consider the following statements:

1. A chemical equilibrium is established when two exactly opposite reactions occur in the same container at the same time and with the same rates of reaction.

2. At equilibrium the concentrations of the chemical species become constant, but not necessarily equal.

3. Conjugate acid-base pairs differ only in a single H⁺; the one that has the extra H⁺ is the acid.

Choose the correct statements:

23 / 45

23. For the chemical reaction:

2 CIO₂ (aq) + 20H⁻ (aq) ➝ CIO₂⁻(aq) + CIO₃⁻(aq) + H₂O(l).

The initial concentrations and rates of three experiments are given in the table. What is the rate law for this reaction?

24 / 45

24. The carbocation in which rearrangement is not feasible?

25 / 45

25. The incorrect order among the following is:

26 / 45

26. On increasing temperature from 27 ⁰C to 37 ⁰C, the rate of a chemical reaction becomes twice. What is the activation energy of the reaction?

27 / 45

27. What will be the work done in isothermal reversible compression of a gas having initial pressure & volume (10 atm & 20 L) to final pressure & volume (20 atm & 10 L)?

28 / 45

28. Organic Compound A CHO gives 2,4-DNP and Iodoform test but does not reduce Tollens and Fehlings reagent neither decolorises Baeyer's reagent. On drastic Oxidation with HCrO it gives B (CHO). A and B are respectively

29 / 45

29. Absolute value of which of the following thermodynamic property can be calculated?

30 / 45

30. A sample of 1·0 g of an organic compound was treated according to Kjeldahl’s method. The ammonia evolved was absorbed in 100 mL of 0·5 M H₂SO₄. The residual acid required 50 mL of 1·0 M NaOH for neutralisation. What is the % of nitrogen in the organic compound?

31 / 45

31. Identify the pair of linear molecules:

32 / 45

32. Choose the INCORRECT statement:

33 / 45

33. For the chemical reaction: A + B ➝ Product, the rate law is K [A]¹ × [B]¹. K = 5×10⁻³ L mol⁻¹s⁻¹, what is the concentration of ‘A’ remaining after 100 second if [A]₀ = 0·10 M & [B]₀ = 6 M? [log 20 = 1·3]

34 / 45

34. A black compound of manganese reacts with a halogen acid to give greenish yellow gas. When excess of this gas reacts with NH₃ an unstable trihalide is formed. In this process the oxidation state of nitrogen changes from 

35 / 45

35. When lead storage cell is full charged, aqueous solution of H₂SO₄ in it is 40% by mass. If specific gravity of this solution is 1·30, then what is the mass of pure H₂SO₄ in 100 mL of the solution?

36 / 45

36. A certain reaction is non spontaneous under standard conditions but becomes spontaneous at lower temperatures. What conclusions may be drawn under standard conditions?

37 / 45

37. Solution of A(l) [vp = 600 mmHg] and B(l) [vp = 800 mmHg] form ideal solution with certain composition. What should be the vapour pressure of the resulting solution?

38 / 45

38. What is the correct IUPAC name of the structure given?

39 / 45

39. E⁰ for: [MnO₄]⁻ (aq) + 8 H⁺ (aq) + 5 e⁻ ⇌ Mn²⁺(aq) + 4 H₂O(l), is +1·51 V, what is the reduction potential in aqueous solution of pH = 2·5 having the ratio [Mn²⁺]:[MnO₄⁻] = 1 : 100?

40 / 45

40. When 3-Iodo-2,2-dimethylbutane is treated with KOH in ethanol, three elimination products are formed, identify the major one:

41 / 45

41. Number of phenols possible with molecular formula C₇H₈O is:

42 / 45

42. Electron gain enthalpies (in kJ mol⁻¹) of Cl(g) and F(g) are respectively:

43 / 45

43. Sample solutions of each of the three acids (given in figure) were titrated with 0.10 M NaOH(aq). Each of the acid solutions had a concentration of 0.10 M. Which of the acid titrations had the highest pH at the endpoint?

44 / 45

44. Choose CORRECT Statement:

I. In graphite distance between two layers is 340pm. 

II. Graphite conducts electricity between layers. 

III. Graphite is very soft and slippery.

45 / 45

45. When hydrated ferric chloride is dissolved in aqueous solution of oxalic acid containing KOH, green crystals is obtained having formula

Your score is

The average score is 6%

Exit

FULL SYLLABUS CHEMISTRY TEST: 03

Thanks for Attempting the QUIZ


NEET CHEMISTRY TEST 2026 [TEST 03]

Attempt all question within time limit of 50 minutes.

1 / 45

1. If Ni²⁺ ion is replaced with Pt²⁺ ion in complex [NiCl₂Br₂], which of the following would change:

  1. Magnetic moment
  2. Geometry
  3. Geometrical Isomerism
  4. Optical Isomerism

2 / 45

2. NO₂ required for a reaction is produced by the decomposition of N₂O₅ in CCl₄ as per the equation:

2 N₂O₅ (g) ➝ 4 NO₂ (g) + O₂ (g)

The initial concentration of N₂O₅ is 3.00 mol L⁻¹ and it is 2.75 mol L⁻¹ after 30 minutes.

The rate of formation of NO₂ is :

3 / 45

3. What would be the molality of 20% (mass/mass) aqueous solution of KI? (molar mass of KI = 166 g mol⁻¹)

4 / 45

4. A sample of a gas was analysed and found to contain 2·34 g of nitrogen and 5·34 g of oxygen. The vapour density of the gas was found to be about 45·9. What is the molecular formulas of this gas?

5 / 45

5. If azimuthal quantum number (l) of an electron in an orbital is 2, the shape of the orbital should be

6 / 45

6. The ammonia(NH₃) released on quantitative reaction of 0.6 g urea (NH₂CONH₂) with sodium hydroxide(NaOH) can be neutralized by

7 / 45

7. The process in which an ideal gas undergoes change from X to Y as shown in the following diagram is

8 / 45

8. Two solutions A and B, each of 100 L was made by dissolution of 4g of NaOH and 9.8 g of H₂SO₄ in water, respectively. The pH of the resultant solution obtained from mixing 40 L of solution A and 10 L of solution B is

9 / 45

9. The hydrocarbon that cannot be prepared effectively by Wurtz reaction is

10 / 45

10. The correct statements among I to III are:

I. Valence bond theory cannot explain the color exhibited by transition metal complexes

II. Valence bond theory can predict quantitatively the magnetic properties of transition metal complexes

III. Valence bond theory cannot distinguish ligands as weak and strong field ones

11 / 45

11. The correct order of the following compounds towards addition of HCN is:

12 / 45

12. The quantum number of four electrons are given below:

 I. n = 4, l = 2, m = 2, s = ﹣½

II. n = 3, l = 2, m = 1, s = + ½

III. n = 4, l = 1, m = 0, s = + ½

IV. n = 3, l = 1, m = 1, s = ﹣½

The correct order of their increasing energies will be:

13 / 45

13. An organic compound 'A' (C4H10) when treated with conc. HI undergoes, cleavage yield compound 'B' and C'. ‘B' gives yellow precipitate with AgNO₃ where as tautomerizes to 'D'. 'D' gives positive iodoform test. 'A' could be:

14 / 45

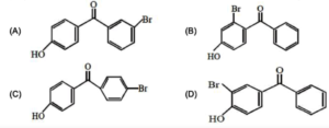
14. p-Hydroxybenzophenone upon reaction with bromine in carbon tetrachloride gives:

15 / 45

15. The decreasing order of electrical conductivity of the following aqueous solutions is:

1. 0.1 M Formic acid

2. 0.1 M Acetic acid

3. 0.1 M Benzoic acid

16 / 45

16. Energy of electron in 2ⁿᵈ orbit of Be³⁺ is ﹣x eV atom⁻¹, what is the energy of electron in 4ᵗʰ orbit of He⁺?

17 / 45

17. What is the product of following reaction?

18 / 45

18. For the reaction 2A + B ➝ C, the values of initial rate at different reactant concentrations are given in the table below: The rate law for the reaction is:

pastedGraphic.png

19 / 45

19. Among the following, the correct statement/s about ‘p’ block elements is/are

I. The valence shell electronic configuration of all of them is ns²np¹⁻⁶, where n=1,2,3. . .

II. Only in p block, metals, nonmetals and metalloids are present.

III. Halogens have the lowest negative electron gain enthalpy in the respective periods.

IV. Noble gases have no tendency to accept an electron and hence they have large negative values of electron gain enthalpy.

20 / 45

20. A cricket ball is moving with a kinetic energy of 5 J. The wavelength of the ball will be [h = 6.626 × 10⁻³⁴ Js]

21 / 45

21. 25 g of an unknown hydrocarbon upon burning produces 88 g of CO₂ and 9 g of H₂O. This unknown hydrocarbon contains.

22 / 45

22. A bottle of H₃PO₄ solution contains 70%(w/w) acid. If the density of the solution is 1·54 g cm⁻³, the volume of the H₃PO₄ solution required to prepare 1 L of I N solution is

23 / 45

23. Consider the following reaction:

[CoCl₂(NH₃)₄]⁺ + Cl⁻ ➝ [CoCl₃(NH₃)₃] + NH₃.

Which of the following statements are correct:

  1. only one isomer is produced if the reactant complex ion is a trans isomer
  2. three isomers are produced if the reactant complex ion is a cis isomer
  3. two isomers are produced if the reactant complex ion is a trans isomer
  4. two isomers are produced if the reactant complex ion is cis isomer

24 / 45

24. A solution is prepared by dissolving 0·6 g of urea (molar mass = 60 g mol⁻¹) and 1.8 g of glucose (molar mass = 180 g mol⁻¹) in 100 mL of water at 27 ⁰C. The osmotic pressure of the solution is :

(R = 0.08206 L atm K⁻¹ mol⁻¹)

25 / 45

25. The C–C bond length is maximum in

26 / 45

26. The reaction of 2, 4-hexadiene with one equivalent of bromine at 0⁰ C gives a mixture of two compounds ‘X’ and ‘Y’. If ‘X’ is 4, 5-dibromohex-2-ene, ‘Y’ is

27 / 45

27. The emf of a cell corresponding to the following reaction is 0·199 V at 298 K.

Zn(s) + 2 H⁺ (aq) ➝ Zn²⁺(0·1 M) + H₂(g); (E⁰(Zn/Zn²⁺) = 0·76 V)

The approximate pH of the solution at the electrode where hydrogen is being produced is

28 / 45

28. The ratio of the mass percentages of 'C & H' and 'C & O' of a saturated acyclic organic compound 'X' are 4 : 1 and 3 : 4 respectively. Then, the moles of oxygen gas required for complete combustion of two moles of organic compound 'X' is

29 / 45

29. The theory that can completely/properly explain the nature of bonding in [Ni(CO)₄] is

30 / 45

30. In H-atom if electron absorbs a photon of 1·89 eV, then transition of electron is from

31 / 45

31. A chemical reaction is carried out at two different temperatures T₁ and T₂ (T₂ > T₁) and also with and without a catalyst.

The statement that is correct among the following is

32 / 45

32. Increasing order of reactivity of the following compounds for SN1 substitution is:

33 / 45

33. The reaction aA(g) ⇌ bB(g) + cC(g) was carried out at a certain temperature with an initial pressure of A = 30 bar. Initially ‘B’ and ‘C’ were not present. If the equilibrium partial pressures of ‘A’, ‘B’ and ‘C’ are 20, 5 and 10 bar respectively, then a:b:c is 

34 / 45

34. The best sequence of reactions for the following conversion is

35 / 45

35. The order of electron gain enthalpy in kJ/mol of fluorine, chlorine, bromine and iodine, respectively are

36 / 45

36. HF has highest boiling point among hydrogen halides, because it has:

37 / 45

37. A₂(g) + 4 B₂(g) ⇌ 2 AB₄(g), ΔH < 0

Product formation is favoured by

38 / 45

38. The number of possible optical isomers for the complexes MA₂B₂ with sp³ and dsp² hybridized metal atom, respectively is:

[Note: A and B are uni-dentate neutral and uni-dentate mono-anionic ligands, respectively]

39 / 45

39. In order to oxidize a mixture of one mole of each of FeC₂O₄, Fe₂(C₂O₄)₃, FeSO₄ and Fe₂(SO₄)₃ in acidic medium, the number of moles of KMnO₄ required is:

40 / 45

40. A current of 5.0 A flows for 4.0 h through an electrolytic cell containing a molten salt of metal M. This results in deposition of 0.25 mol of the metal M at the cathode. The oxidation state of M in the molten salt is (1 Faraday = 96485 C mol⁻¹)

41 / 45

41. The kinetic energy of the photoelectrons ejected by a metal surface increased from 0.6 eV to 0.9 eV when the energy of the incident photons was increased by 20%. The work function of the metal is

42 / 45

42. O₂(g) is paramagnetic in nature because it has 

43 / 45

43. The mass ratio of steam and hydrogen is found to be 1:1·5 at equilibrium in the following reaction:

3 Fe(s) + 4 H₂O (g) ⇌ Fe₃O₄(s) + 4 H₂(g)

The value of the equilibrium constant (Kc) of the above reaction is

44 / 45

44. The vapour pressures of pure liquids A and B are 400 and 600 mm Hg, respectively at 298 K. On mixing the two liquids, the sum of their initial volumes is equal to the volume of the final mixture. The mole fraction of liquid B is 0.5 in the mixture. The vapour pressure of the final solution, the mole fractions of components A and B in vapour phase, respectively are:

45 / 45

45. The solubility products (Ksp) for three salts MX, MY₂ and MZ₃ are 1 × 10⁻⁸, 4 × 10⁻⁹ and 27 × 10⁻⁸, respectively. The correct order for solubilities of these salts is 

Your score is

0%

Exit

The quiz [04] will be available from 18-04-2026, 2:00 pm, onwards. . .